我要投稿
1
每天睡超8小时,死亡风险增加
睡得多,死亡风险增加,这一研究结论发表在欧洲心脏病学会(ESC)期刊《European Heart Journal》上。
该结论由北京协和医学院阜外医院的李卫教授团队、加拿大McMaster大学医学院Salim Yusuf团队,通过标准调查问卷,对21个国家的116 632名参与者进行调查后得出的结论。

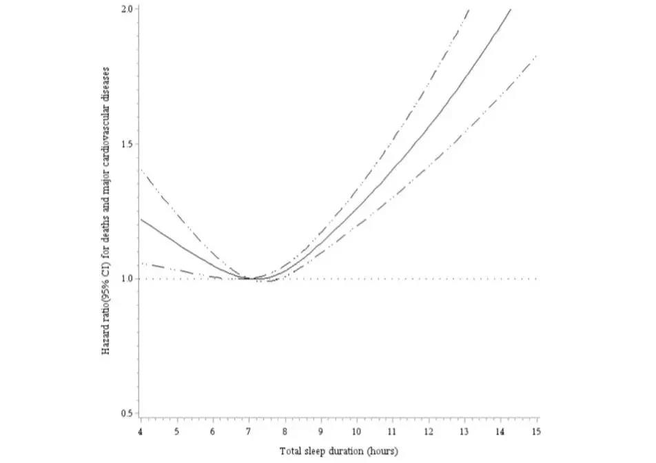
小编翻译一下,竖坐标是死亡风险和患主要心血管疾病风险;横坐标是睡眠时长。
睡眠时间在 5.5~7.4 小时之间,死亡率最低;少于 4.4 小时或高于 9.5 小时,死亡危险率会翻倍增高。
2
过度睡眠危害大
01 增加癌症风险
发表在《Sleep》杂志上的一项研究报告显示,长时间睡眠与结直肠癌风险增加相关,打鼾和超重者尤甚。
报告显示,报告每晚睡眠时间至少为9个小时者发生疾病的可能性大于平均睡眠时间7个小时的人。
02 易患糖尿病
睡眠时间过长或过短都会增加糖尿病的发病风险。
有研究显示,如果睡眠时间不足6小时,患糖尿病的风险比正常睡眠者(7至8小时)增加约2倍,如果睡眠时间超过8小时,那患糖尿病的风险则会增加3倍。
03 影响血压
长时间的睡觉血管内流动的血液对单位面积血管壁的侧压力不够。压力不够就会影响血压的正常流动。
04 妨碍神经系统功能
睡眠过长,睡眠中枢长期处于兴奋状态,而其它神经中枢由于受到抑制时间太长,恢复活动的功能就会变得相对缓慢,因而会感到昏昏沉沉,无精打采,并易造成神经系统功能紊乱。
05 记忆力减退
美国弗雷明汉心脏研究人员发现,每天睡眠超过9个小时的老年人患老年痴呆症的风险两倍于平均水平。
而且每天睡9个小时或更多的人脑容量相对较小,需要更长时间处理信息,且呈现记忆衰退迹象
06 易患消化疾病
如果睡眠过多,就无法按时进餐,胃肠发生饥饿性蠕动,打乱了胃液分泌规律,影响消化功能。
3
最健康睡眠时长:6-8小时
你的睡眠质量如何?这样判断!
国际卫生组织(WHO)曾公布数据:平均睡眠时间在6~7.25小时/天的人群最为健康、平均寿命最长。这也侧面印证了上述研究结论的准确性。
实际上,不同人群对睡眠的需求量是不一样的。
婴幼儿时期睡眠可达12~20小时/天;
儿童期在10~12小时/天;
青春期以后8~10小时/天;
青中年期6~8小时/天;
进入老年期以后每天的睡眠需求可以降到6小时以下。
所以说,健康人的睡眠时间是有波动有弹性的,千万别担心睡不好,反而更睡不好,更不要为了刻意追求睡眠时长而服用药物。
想知道自己的睡眠质量如何,可以对照以下几条看做判断(小编除了第四条,其余都可以做到):
1、入睡快,30分钟之内可入睡;
2、睡眠深,呼吸深长,不容易惊醒;
3、无起夜或很少起夜,醒来时较短;
4、起床快,早晨起床后精神好;
5、白天头脑精神清醒,工作效率高。
4
如何拥有高质量睡眠?
睡前不要做这几件事
01 睡前生气
睡前生气会对身体产生非常大的危害。睡觉前发怒,使人的心跳频率加快,呼吸变得急促,以致短时间难以进入睡眠状态。
02 睡前太饱
中医讲“胃不和则卧不安”,如果吃得过饱,或者很晚了还吃很多东西,都会加重脾胃负担,扰动脾阳,影响睡眠。因此,晚餐宜早一点吃,七八分饱,清淡一些。
03 睡前喝茶、喝咖啡
睡前不宜吸烟、饮浓茶或咖啡等,咖啡碱等物质会刺激中枢神经,使人兴奋,不易入睡。还会导致夜里尿频,影响睡眠。
04 枕头太高/太低
从生理角度上讲,枕头以8~12厘米为宜。太低,容易造成“落枕”,或因流入头脑的血液过多,造成次日头脑发胀、眼皮浮肿;过高,会影响呼吸道畅通,易打呼噜,而且长期高枕,易导致颈部不适或驼背。
05 喝醉入睡
酒精会扰乱整个睡眠状态,使人出现经常早醒、睡眠质量较低、熟睡时间缩短等问题,继而影响白天的精神状态。睡前饮酒还会使打鼾和睡眠呼吸暂停综合征明显加重。
06 戴活动假牙睡觉
一旦发现假牙松动应及时到医院处理,不要勉强戴着,晚上睡觉前一定要将假牙取下。
随着年龄增长,口腔内牙槽骨逐渐萎缩变形,假牙很可能松动,一旦误吞,若假牙呛入气管则可能导致窒息死亡和其他严重问题。
07 睡前剧烈锻炼
睡前不宜从事剧烈运动,容易造成神经兴奋,宜做一些舒缓的活动如散散步,为入眠做好准备。另外,长时间看场面激烈的影视剧、球赛,或者夜生活过于丰富,都会影响睡眠。